现在我们已经学会了新建分支和合并分支,可以(或应该)用它来做点什么呢?在本节,我们会介绍一些利用分支进行开发的工作流程。而正是由于分支管理的便捷,才衍生出了这类典型的工作模式,你可以根据项目的实际情况选择一种用用看。
由于 Git 使用简单的三方合并,所以就算在较长一段时间内,反复多次把某个分支合并到另一分支,也不是什么难事。也就是说,你可以同时拥有多个开放的分支,每个分支用于完成特定的任务,随着开发的推进,你可以随时把某个特性分支的成果并到其他分支中。
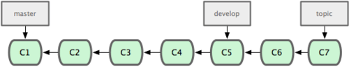
许多使用 Git 的开发者都喜欢用这种方式来开展工作,比如仅在 master 分支中保留完全稳定的代码,即已经发布或即将发布的代码。与此同时,他们还有一个名为 develop 或 next 的平行分支,专门用于后续的开发,或仅用于稳定性测试 — 当然并不是说一定要绝对稳定,不过一旦进入某种稳定状态,便可以把它合并到 master 里。这样,在确保这些已完成的特性分支(短期分支,比如之前的 iss53 分支)能够通过所有测试,并且不会引入更多错误之后,就可以并到主干分支中,等待下一次的发布。
本质上我们刚才谈论的,是随着提交对象不断右移的指针。稳定分支的指针总是在提交历史中落后一大截,而前沿分支总是比较靠前(见图 3-18)。

图 3-18. 稳定分支总是比较老旧。
或者把它们想象成工作流水线,或许更好理解一些,经过测试的提交对象集合被遴选到更稳定的流水线(见图 3-19)。

图 3-19. 想象成流水线可能会容易点。
你可以用这招维护不同层次的稳定性。某些大项目还会有个 proposed(建议)或 pu(proposed updates,建议更新)分支,它包含着那些可能还没有成熟到进入 next 或 master 的内容。这么做的目的是拥有不同层次的稳定性:当这些分支进入到更稳定的水平时,再把它们合并到更高层分支中去。再次说明下,使用多个长期分支的做法并非必需,不过一般来说,对于特大型项目或特复杂的项目,这么做确实更容易管理。
在任何规模的项目中都可以使用特性(Topic)分支。一个特性分支是指一个短期的,用来实现单一特性或与其相关工作的分支。可能你在以前的版本控制系统里从未做过类似这样的事情,因为通常创建与合并分支消耗太大。然而在 Git 中,一天之内建立、使用、合并再删除多个分支是常见的事。
我们在上节的例子里已经见过这种用法了。我们创建了 iss53 和 hotfix 这两个特性分支,在提交了若干更新后,把它们合并到主干分支,然后删除。该技术允许你迅速且完全的进行语境切换 — 因为你的工作分散在不同的流水线里,每个分支里的改变都和它的目标特性相关,浏览代码之类的事情因而变得更简单了。你可以把作出的改变保持在特性分支中几分钟,几天甚至几个月,等它们成熟以后再合并,而不用在乎它们建立的顺序或者进度。
现在我们来看一个实际的例子。请看图 3-20,由下往上,起先我们在 master 工作到 C1,然后开始一个新分支 iss91 尝试修复 91 号缺陷,提交到 C6 的时候,又冒出一个解决该问题的新办法,于是从之前 C4 的地方又分出一个分支 iss91v2,干到 C8 的时候,又回到主干 master 中提交了 C9 和 C10,再回到 iss91v2 继续工作,提交 C11,接着,又冒出个不太确定的想法,从 master 的最新提交 C10 处开了个新的分支 dumbidea 做些试验。

图 3-20. 拥有多个特性分支的提交历史。
现在,假定两件事情:我们最终决定使用第二个解决方案,即 iss91v2 中的办法;另外,我们把 dumbidea 分支拿给同事们看了以后,发现它竟然是个天才之作。所以接下来,我们准备抛弃原来的 iss91 分支(实际上会丢弃 C5 和 C6),直接在主干中并入另外两个分支。最终的提交历史将变成图 3-21 这样:

图 3-21. 合并了 dumbidea 和 iss91v2 后的分支历史。
请务必牢记这些分支全部都是本地分支,这一点很重要。当你在使用分支及合并的时候,一切都是在你自己的 Git 仓库中进行的 — 完全不涉及与服务器的交互。